Radijo ryšys, paremtas radijo bangų sklidimu oru ir vakuumu, atvėrė naujas galimybes informacijos perdavimui. Radijo bangos, nereikalaudamos papildomos energijos, keliauja vienodai greitai, nepaisant aplinkos. Šio išradimo istorija siekia XIX amžių, kuomet 1873 m. ir 1879 m. Deividas Hjūzas, velsiečių kilmės amerikietis, pastebėjo svarbius reiškinius. Vėliau, 1886 m., Heinrichas Hercas atliko fundamentalius tyrimus, o 1884 m. ir 1885 m. italų išradėjas Temistoklis Kalzekis-Onestis publikavo straipsnius apie radijo bangas. Prancūzų fizikas Eduardas Branli 1890 m. pademonstravo prietaisą, kuris vėliau buvo pritaikytas radijo imtuvų schemose. Įprastinis XX amžiaus pabaigos radijo imtuvas, nors ir sudėtingesnis, remiasi tais pačiais principaisiais. Radijo imtuvų būna įvairiausių konstrukcijų, tačiau jų visų veikimo principai yra panašūs.
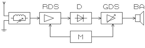
Radijo ryšio schema apima siųstuvą ir imtuvą. Radijo siųstuvas naudoja elektromagnetinių virpesių generatorių, kuris sukuria aukštojo dažnio elektromagnetinius virpesius. Šie virpesiai perduodami į aplinką radijo bangų pavidalu. Imtuvas, savo ruožtu, pagauna siųstuvo spinduliuojamas bangas ir paverčia jas garsinio dažnio virpesiais, kuriuos mes girdime kaip garsą. Paprasčiausias radijo imtuvas yra detektorinis radijo imtuvas.

Pirmieji radijo imtuvai buvo masyvūs ir sunkiai perkelti, o maždaug prieš šimtą metų jie buvo laikomi didžiule prabanga, prieinama tik pasiturintiems žmonėms. Negalintys jų įpirkti, žmonės pasitenkindavo savadarbiais detektoriniais radijo imtuvais. Laikui bėgant, technologijoms tobulėjant, keitėsi ir prietaisai. Išpopuliarėjo magnetolos ir radijo grotuvai. Seniau vyravo kasetinės magnetolos, tačiau vėliau kasetes pakeitė kompaktinės plokštelės. Šiais laikais gaminami prietaisai turi skaitmeninius radijo grotuvus, kurie automatiškai skenuoja bangas ir aptinka radijo stotis, taip pat CD grotuvą, galintį nuskaityti CD-R/RW formato diskus. Kai kurie modernūs prietaisai turi USB ir „Bluetooth“ jungtis, leidžiančias prijungti išmaniuosius įrenginius ar transliuoti muziką belaidžiu būdu.
Magnetolos yra universalūs prietaisai, tinkami naudoti biure, namuose ar gamtoje. Dažniausiai jos yra nešiojamos ir veikia su elementais. Magnetolos gali skirtis savo galingumu, o tai tiesiogiai veikia garso kokybę ir stiprumą. Kuo didesnė magnetolos galia (matuojama vatais), tuo geresnis ir stipresnis garsas, tačiau kartu didesnis ir energijos suvartojimas.

Visgi, magnetolas, plačiai naudotas šio amžiaus pradžioje, išstūmė skaitmeniniai radijo imtuvai - naujausia radijo transliavimo technologija. Šiuose imtuvuose garsas paverčiamas skaitmeniniais signalais ir tada transliuojamas, leidžiant mėgautis aukšta garso kokybe, panašia į CD, ir sklandžiu klausymu be trukdžių, kurie dažnai pasitaiko klausant analoginių FM radijo imtuvų. Skaitmeniniai radijo imtuvai suteikia platesnį radijo stočių pasirinkimą, leidžia klausytis įvairios muzikos, laidų ar programų. Daugelis modelių priima FM bangas ir internetinio radijo kanalus. Automatinis stočių paieškos funkcija leidžia pamiršti rankinį derinima, o ekranėlyje dažnai pateikiama informacija apie atlikėją, dainos pavadinimą ar radijo stotį.
Šiuolaikiniai skaitmeniniai radijo imtuvai siūlo gerokai daugiau nei vien radijo klausymą. Jie gali turėti žadintuvą, USB jungtį, „Bluetooth“ ar WiFi ryšio galimybes. Skaitmeniniai radijo imtuvai gali būti laidiniai, prijungiami prie maitinimo šaltinio, arba nešiojami, įkraunami. Kišeniniai modeliai yra patogūs keliaujant, o kai kurie pasižymi ir atsparumu vandeniui. Vertinant skaitmeninį radijo imtuvą, svarbu atsižvelgti į garso kokybę, garsiakalbių skaičių (mono ar stereo garsas) ir bendrą imtuvo galingumą, kuris turėtų būti derinamas prie patalpos dydžio.
Analoginis ir skaitmeninis radijas: radijo režimų pradedantiesiems vadovas
Informacinės visuomenės plėtros ir Europos Sąjungos direktyvų įgyvendinimo kontekste svarbu suprasti, kad asmens duomenų apsauga ir privatumas yra prioritetiniai aspektai. UAB „Kesko Senukai Digital“ ir kiti paslaugų teikėjai tvarko asmens duomenis, laikydamiesi Bendrojo duomenų apsaugos reglamento (BDAR) ir kitų teisės aktų. Jūs turite teisę susipažinti su savo duomenimis, juos taisyti, ištrinti ar apriboti jų tvarkymą. Taip pat svarbu žinoti, kad slapukai (cookies) naudojami svetainės funkcionalumui ir patogumui užtikrinti, tačiau Jūs galite kontroliuoti jų naudojimą per naršyklės nustatymus.
Radijo stočių dažniai Lietuvoje
Lietuvoje veikia daugybė radijo stočių, transliuojančių įvairių žanrų muziką ir informacines laidas. FM diapazone galima rasti tokias stotis kaip Žinių Radijas, „Pulsas“, XFM, XXL FM, „Radijas Kelyje“, M-1 plius, Extra FM, EASY FM, GERAS FM, ROCK FM, EUROPEAN HIT RADIO, GOLD FM, RELAX FM, PŪKAS 2, PŪKAS, Marijos Radijas, POWER HIT RADIO, ZIP FM, R radio, Radiocentras, LIETUS, M-1, LRT Opus, LRT Klasika, LRT Radijas. Kiekvienos stoties priklausomybė tam tikram regionui ar miestui lemia signalo stiprumą ir girdimumą. Didesnės galios siųstuvai užtikrina platesnį aprėpties spindulį, tačiau gyvenantiems toliau nuo pagrindinių miestų gali prireikti naudoti išorinę anteną geresniam priėmimui.
| Radijo stotis | Dažniai (pavyzdžiai) | Regionas/Miestas |
|---|---|---|
| Žinių Radijas | 104.5 MHz, 99.0 MHz, 97.1 MHz, 90.2 MHz | Vilnius, Kaunas, Klaipėda, Šiauliai ir kt. |
| M-1 plius | 93.0 MHz, 99.4 MHz, 94.4 MHz, 88.5 MHz | Vilnius, Kaunas, Klaipėda, Šiauliai ir kt. |
| ZIP FM | 97.9 MHz, 98.6 MHz, 95.8 MHz, 94.8 MHz | Vilnius, Kaunas, Klaipėda, Šiauliai ir kt. |
| POWER HIT RADIO | 97.1 MHz, 99.4 MHz, 98.1 MHz, 94.8 MHz | Vilnius, Kaunas, Klaipėda, Šiauliai ir kt. |
| LRT Radijas | 98.7 MHz, 92.1 MHz, 96.0 MHz, 97.8 MHz | Vilnius, Kaunas, Klaipėda, Šiauliai ir kt. |
Šiandienos radijo imtuvai yra neatsiejama modernaus gyvenimo dalis, siūlantys ne tik informaciją ir pramogas, bet ir daugybę papildomų funkcijų, atitinkančių įvairius poreikius.

